Original title: Valentine's Day Special: Blur Airdrop + Coin Release, Where's The Surprise (The Floor is All Yours, Blur)
Eric, Puzzle Ventures
If you look at the NFT transaction market traffic ranking for the last 3 months, it's not hard to see that Blur has surpassed OpenSea in total transaction volume, and almost all of the NFT projects have their floors hung on Blur.
What makes Blur so successful? Is its success sustainable? Here's a detailed look at Blur's past and present lives.

NFTGO market data in the past three months (source: https://nftgo.io/analytics/marketplace)
At the end of March 2022, an unremarkable announcement on Twitter announced Blur had raised $11 million, led by Paradigm and backed by a bunch of NFT Kols, including Deeze, Zeneca, 6529 and others. The announcement didn't give much information about the project. What they were going to do was: NFT pro-trading.
正值上⼀轮⽜市末期最后⼀波⾏情, NFT 市场也在散发余热,各种新晋蓝筹项⽬层出不穷,各种新兴 NFT 交易市场也各显神通。⾃从 looksrare 开启了空投 Token 来激励交易的先河之后,打开了原本的交易市场的新思路。x2y2 则是另外⼀个加⼊到这场竞争中的,引⼊了挂单激励的概念。
此后这些市场的交易量蒸蒸⽇上,虽然⼤部份交易量是为了赚取 Token ⽽进⾏的洗售交易(wash-trading)【请参考 Puzzle Ventures《从数据看 NFT 市场中的洗售交易 (Wash Trade)》】,但是真正的流量却不可⼩觑,据统计平均有超过 15%-20% 流量在 OpenSea 以外发⽣。
The NFT market is no longer dominated by OpenSea, but is now dominated by OpenSea. Although there are still many people who only know Opensea, but for degen, even if the price difference is 0.1 Ethernet, they will not suffer this loss, so they keep switching between different platforms to obtain the lowest price of NFT. Under such demand, Aggregation tools come naturally.
There are two different types of users for NFT aggregators, each of which values two different types of functionality.
The first is that you want to buy a particular NFT, and the purpose of using aggregators is to make it easier to quickly scan all the listed NFT, and finally buy a favorite or mispriced NFT. (Sniper)
Another user who wants to buy an NFT in bulk will use an aggregator because it would be a loss to sweep the floor in a separate market, and the trading platforms didn't have bulk buying capabilities before. (Trader)
Mass aggregators, led by Genie, began to show up, and Genie attracted a lot of trading volume after its launch. It was replaced by Gem a few months later due to better UI/UX, faster information updates and lower transaction failure rate. Genie, however, floundered and was acquired by Uniswap. This shows that aggregators need to focus on the experience, because they only make it easier for users to buy NFT, and don't have a strong moat; If the product experience is not good, users might as well go to the market and buy it, so a better and faster product will quickly take over the market.
Most of the trading volume in the market is dominated by large users, and the 3/7 law can often be applied, that is, 70% of the trading volume is in the hands of 30% users, so the needs of these users are the most important. The experience of aggregating tools like Gems is not that different from that of a regular trading market. They are similar to shopping websites and load relatively slowly, allowing users to navigate through each NFT and slowly decide on a purchase rather than a professional transaction.
NFT traders value timely information, operational fluency and professional trading capabilities, and can often miss opportunities with a few seconds.
Before Blur, there were some professional tools, such as Trait Sniper, but most of them were paid for and their function was mainly to kill rare NFT in seconds when the project opened. There was a desperate need for a more powerful aggregator that could integrate browsing, seckill and bulk buying, reduce information lag and page load times, and make it free to use, and Blur was born.

Since the middle of 2022, Blur has been spreading among the NFT elite thanks to the strong lineup of angel investor KOL. Then they launched a platform closed beta, and the rules were simple: invitational. They score users based on their transactions with OpenSea over the past year. Users can also send invitation codes to other users to earn points based on their transactions. The higher the score, the priority is given to the test. Since the market is dominated by big players, having these users with the traffic to test can already represent a large market share.
Blur was developed from the start for a professional audience, meaning that the various features of Blur had a general direction in closed beta and didn't require much effort to appeal to the average retail user. Conversely, a platform like OpenSea, despite its large user base, doesn't trade much more than Blur. Blur went this route and saved a lot of marketing resources, not having to do retail marketing like looksrare or x2y2 or gem to get them to use the product. While getting big users to use Blur, the Kols indirectly promote Blur on twitter, to great effect. Retail investors are also happy to experiment if the product itself is of better quality than existing competitors.
For an aggregator, the aggregation function does not make money. Since many users are reluctant to use the platform once they have decided to collect money, they can obtain NFT listing information on the platform and then bypass the platform to purchase directly on the listing market. But if the information is not transparent, fewer users will use it because the service they want is the aggregation of information. So the aggregator must act as an entry point for traffic and profit from another product.
Aggregators like Gem and Genie failed to find this source of revenue and were eventually acquired. In order to retain user traffic, OpenSea will eventually incorporate Gems into its own UI. Uniswap, on the other hand, is using Genie as part of its ambitious plan to introduce defi users to NFT purchases. As you can see from the above, a single aggregator product does not work; the combination card must be played.
Blur naturally came up with the idea of the marketplace, which allows users to place orders and bids on the same platform while ensuring they get the best offer on the market. This is not possible on other platforms, so users stay on its platform, capturing the revenue that users buy and sell on the platform while using the aggregation feature. This makes looksrare so jealous that looksrare and x2y2 are working on their own aggregators -- x2y2 is coming out with pro -- and LooksRare is also working on Reservoir-based aggregators. But their approach is the opposite of blur's, developing convergence for platform diversion.
Although the Blur API was being developed, it was being developed at a slow pace, preventing the outside world from accessing the liquidity of Blur's native market and temporarily creating an in-out system. In other words, Blur can aggregate external fluidity, but other aggregators cannot aggregate Blur. However, because Blur accounts for a large portion of the bottom flow, which makes other aggregators less competitive, it has received a lot of suspicion of vicious competition.

⼀个聚合器如何能做到⾃⽣市场的流量甚⾄超过了 OpenSea? Token 奖励、产品运营是其次,最主要的还是因为可选版税(optional royalties)。正因为可选版税的问题,OpenSea 和 Blur 为此⼤打出⼿。
At the beginning of Blur's launch, it was notable for optional royalties, although it was not the first project to do so, as x2y2 was the first to announce their support for optional royalties back in late August. This has raised many eyebrows, since the project's ongoing revenue is largely dependent on secondary market royalties. Many people think this is bad for the ecology of the entire NFT system, but this is the entry point for second-tier trading markets to gain traffic.
NFT royalty is a payment to be paid to the project side in the sale of NFT, which is set by the project side itself, generally about 5%-10%. However, based on the standard ERC-721 contract, the project side cannot impose royalty, which is realized by the contract of the trading market itself. Because royalty rates are so high that users are reluctant to pay them, many prefer to list in markets where these royalties are optional. Since sellers can gain more profits in the optional royalty market than in the compulsory royalty platform, they are more willing to place orders in the optional royalty market at a lower price, thus bringing down the floor price of the whole transaction market. That is to say, the price of the compulsory royalty market like OpenSea is often higher. This reduces the incentive for buyers to buy on such platforms, and traffic starts to slip away.
In fact, x2y2 was aware of the potential threat of Blur shortly after Blur came out, because while Blur had zero commission, x2y2, which was also an optional royalty, had a 0.5% commission. x2y2 once resisted Blur by restricting API keys. Although the issue of buying x2y2 NFT on Blur was solved, it still cannot sell NFT on x2y2 through Blur.
As for OpenSea, it lost much more trading volume than x2y2, so that after weeks of trading volume almost caught up with Blur, in the midst of the bear market coin storm, OpenSea finally decided to make a move. It had two options. The first was to announce that royalties would also be optional, and the second was to introduce a new mandatory royalty scheme. However, due to public pressure and the fact that even OpenSea s high transaction fee could not compete with Blur s low transaction fee, the company chose Blur.
In November 2022, OpenSea launched Operator Filter Registry, a contract code that blocks the market for optional royalties by blacklisting them. After January, all new projects must choose between optional royalties and mandatory royalties. If you select mandatory copyright you must use their Operator Filter Registry code. And this code intercepts the market, needless to say, with Blur. The news was so powerful that some marketplaces, such as x2y2, were compromised. Their marketing strategy was to capture the traffic of new projects in the long tail, so if these new projects chose OpenSea's blacklist code, they would not be able to trade on x2y2. So x2y2 enforced the copyright and was removed from the blacklist. The effect of the blacklisting strategy was a bit of a lag, and while everyone was still celebrating the Christmas holiday season with Blur traffic hitting a new high, the undercurrent was already bubbling up.

The silence was broken by the long-awaited arrival of two major new NFT projects in 2023. Memeland's Captainz and Yuga Labs' new Sewer Pass adopted an OpenSea blacklist to shut out Blur. All of the traffic went to OpenSea and x2y2, which hit new highs for the day, while Blur suddenly became number three.
As a result, Blur fell into a trap. Although royalties were not enforceable for older projects that had already been released, the traffic from these old blue chips remained with Blur, but as time went on, there were more and more new projects that Blur could not use to earn future fees. In other words, Blur was stuck with its old money.
However, there is no shortage of blacklisted items, which can now be listed in Blur! Why on earth? It turned out that Blur had developed a new exchange marketplace using OpenSea's own underlying transaction protocol, Seaport. This Seaport is not blacklisted because it is OpenSea's own protocol. The problem was fixed, but because Seaport enforced royalties, new NFT booked on Blur still had to pay royalties. That's pretty good though, there's still a 2.5% transaction fee savings in Blur, and the floor is starting to appear on Blur again. It's no longer a huge advantage, but it's enough to save a game. The fly in the ointment was Blur's inability to list the new items with a bid function.
What are some ways to attract users to a new platform? Blur as a Web3; Protocol, the use of natural method is air drop!
⽤户只要在 Blur 上 list ⼀个 NFT 超过 14 天就可以获取空投,空投的数量以他们之前在 OpenSea 交易数据决定。但是空投的却不是 Token ⽽是神秘的盒⼦,这些盒⼦在最后 Token 发⾏的时候可以开启来获取 Token 。换句话说就是滞后发币, 发给⽤户⼀些链下积分。这么⼀做很多⽤户都在批评,以⾄于刚开始⼏天很⾼的交易量并没有保持很久。不过这⼀点也是没有办法,因为 2022Q4 的时候市场实在惨淡,整个 NFT 的市场的价值已经从巅峰时候下降了 80%,不如稍微缓⼀缓把空投分为好⼏个周期。于是他们就这么做了,⼀共分成了三个周期。
第⼆波空投是由在 Blur 上的挂单和交易量决定的,在 11 ⽉份发放,但是由于数据统计和售洗交易的原因它发放的时候的箱⼦数量并不正确,很多⼤户只拿到了⾮常少的箱⼦,也并没有按照之前说的第⼆波空投的量是第⼀波的 10 倍,在发放的同时再让⽤户知道这不是最后⼀波空投,第三波空投以及正真的 Token 发⾏在 2023 年 Q1。这让社区的批评声⾳变多,甚⾄⼀度很多 FUD,最后 Blur 也不得不低头,重新把空投的数量调整了变成了第⼀次空投数量的 10 倍左右,谁想到这招来了更多的质疑,因为像这样撒币,让⼤家意识到这些空投的盒⼦并没有价值多少钱。⽽且在未来 Token 经济学不明朗的情况和熊市⼤环境的影响下,⼤家第⼀想到的是抛售空投。很多⼈觉得这会引起下⼀波 NFT 熊市。不过这并没有影响 Blur 的交易流量,反⽽因为第三波空投的条件把 Blur 推向了巅峰。
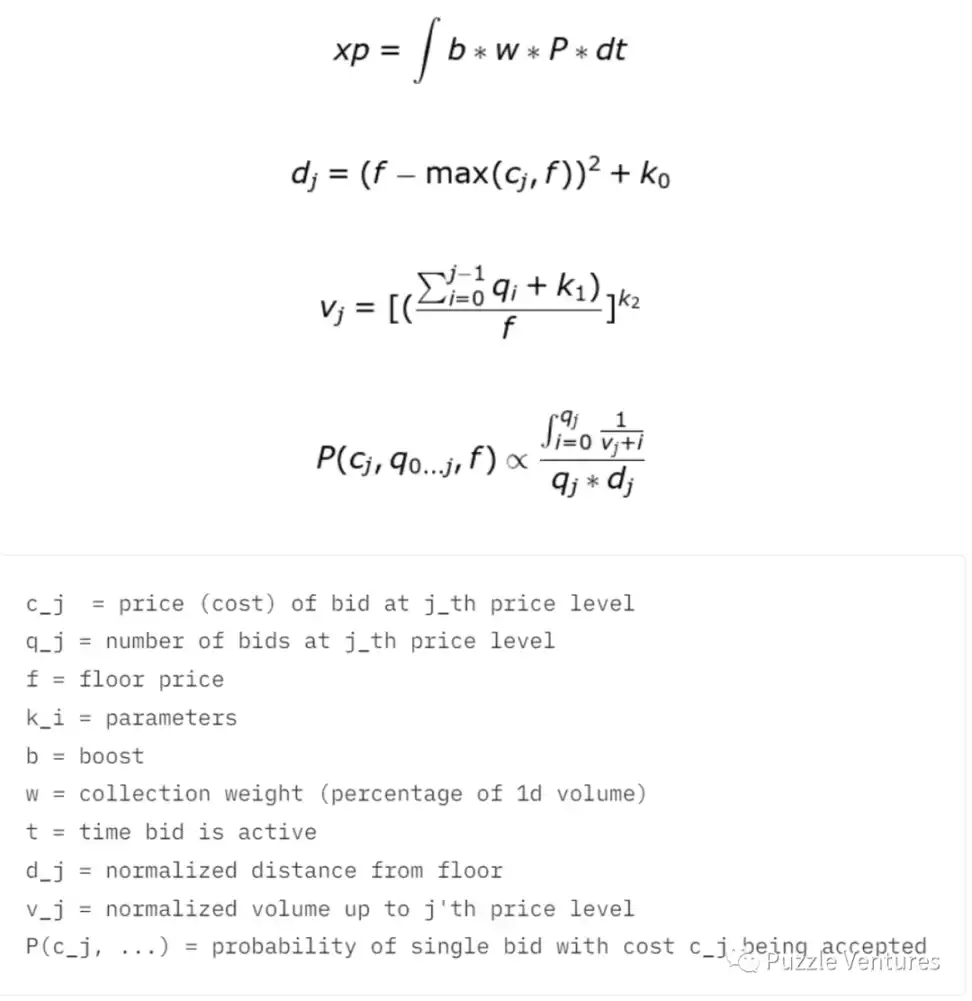
The reward for this third wave of airdrops is based on users placing a Bid on the Blur exchange. The rule is that the larger the transaction volume of the project, the closer the listing price and the floor price, the more airdrops obtained. So much of the market's idle money began bidding on blur for the airdrop, pushing bid-ask spreads for some blue-chip projects close to zero at one point. Most of the blue chip projects even exceed the total cost of all the projects put together! As a result, the liquidity of NFT on Blur reached an extreme, and the transaction volume naturally increased, because the transactions were no longer just buy listing transactions, but more accept bid transactions.

Third wave airdrop bonus formula
2 ⽉ 14 号将迎来 Blur 的第三波空投和期待已久的 Token 发⾏。因为空投预期,买单的资⾦池中已经有将近两万五千以太的额度 (https://etherscan.io/address/0x0000000000a39bb272e79075ade125fd351887ac)。这其实相当于是⼀种通过预挖矿的⽅式来租赁流动性,但它聪明的⼀点在于,它并没有公布空投的实际数量,所以让⼤家来 speculate。在空投之后这些流动性是否还能够维持下去,则必须要有⼀个良好的 Token 经济模型才⾏。

最开始使⽤ Token 经济学的交易市场是 Looksrare,他们引⼊了 NFT 交易挖矿和挂卖单挖矿,甚⾄为了提⾼买单流动性,设计出了⼀套离地板价越近,获得的奖励也越多的系统,这样做也是迫不得已,毕竟价格越低才会有买家来购买。然⽽以奖励交易的⽅式会引起洗售交易,最后并没有给平台带来多⼤的增⻓,只是相当于持续发币。Blur ⾃然明⽩其中的道理,它⼤⼏率会奖励挂单为主来吸引真正的实际交易量和市场份额。
The pay, in particular, is because the low fees and optional royalties are enough to entice Blur to sign up, so it doesn't need to reward sellers too much. Other markets don't have an established incentive system to pay, making traders and whales more willing to pay their bills on Blur. In the NFT market, especially in a bull market, users are more likely to accept sell orders than pay because of the low liquidity risk associated with NFT, but in a mature market both buyers and sellers should be balanced, and with a good incentive model, the potential for pay flow is immeasurable. At present, from its airdrop model, we can guess that in the future, the closer the price is to the floor (the lower the spread), the higher the reward will be.
让我们来量化得分析⼀下,如果它可以维持每天⼀万以太的流量,假设 Blur 会未来会收取 0.4% 的⼿续费(它⼀定不会收取⽐ x2y2 更⾼的费⽤,因为竞争的原因)。假设它拿出⼀半的收⼊ 0.2% 来维持 Blur token 来发放奖励,那么⼀年的话可以给出相当于 7300 以太左右的 Token 奖励,如果它仍然维持⽬前两万五千以太的流动性 TVL,那么它的 APY 将会在 30% 左右。虽然做市的⻛险⽐较⾼,但是这样⼀看,似乎它的流动性在空投后并不会减少太多,毕竟现在还没有到达⽜市的流量,并且和 Token 本⾝价格也有关系。 Token 发⾏究竟会如何,让我们拭⽬以待。
在 Token 发⾏之后,除了良好的 Token 经济学,Blur 同样也可以在产品上做出改进来稳固⾃⼰在 NFT 专业交易领域的⻰头。
For NFT professional traders, in addition to faster data update speed and operational fluency, they prefer a one-stop experience. Blur has already done this by allowing traders to place orders for converged NFT on their platform, as well as place orders and bids on their platform. But this is far from enough for traders, and there is plenty of room for improvement in the future. There are several ideas mentioned here:
For traders, they not only need to know the current floor price of a certain item, but also need to know the floor price changes, just like the K chart seen in the centralized trading platform. In addition, he must understand the positions of the big players in the market, which can't be done without analyzing charts. Some of the analysis provided by NFTGO, for example, would be a good fit for Blur.

Although Blur can allow users to pay their bills on the platform, it doesn't aggregate all the payments in the market. For example, there is no way for Blur to know the price of OpenSea, so an arbitrage opportunity is likely to be missed. Skillet is an NFT order aggregation platform that allows users to liquidate NFTS at a better price. Blur could also add this feature.

For professional traders, in addition to the function of bulk buying and selling, they need more advanced order functions, such as bonding curve like sudoswap, purchase with complex logic, or limit order that can be automatically traded. And these are Tensor features.

All that said, Blur has been a relatively successful project so far. Its user experience is good, attracting most professional traders in the market to use, and let them develop long-term trading habits. Through the air drop expected to increase liquidity way, let its flow in a short period of time more than OpenSea, become a dark horse.
Blur will be a very important NFT market for a long time to come. If it can solve the royalty problem and increase product features, with a good Token economy, there will be further development.
Original link
Welcome to join the official BlockBeats community:
Telegram Subscription Group: https://t.me/theblockbeats
Telegram Discussion Group: https://t.me/BlockBeats_App
Official Twitter Account: https://twitter.com/BlockBeatsAsia